Продам стельки с подогревом

Pilot6

Активный рыбак
Регистрация
11.04.2011
Сообщения
50
Местоположение
Томск
ОК. Лучшие испытания и результаты по осени. Но по получении отзыв напишу.
 

Stalkin

Активный рыбак
Регистрация
30.06.2023
Сообщения
93
Неспеша сделал ещё одну партию ( 7 пар ). Первая продана или в резерве, в том числе и на других форумах
 

Вложения

  • 20230723_132415.jpg
    20230723_132415.jpg
    309 КБ · Просмотры: 190

Pilot6

Активный рыбак
Регистрация
11.04.2011
Сообщения
50
Местоположение
Томск
Получил стельки. Сделано аккуратно. Подсоединил логгер, посмотрел потребляемый ток - 0.86А. Положил стельку на толстый картон, поставил стопу -греет. В сапоге наверно будет более эффективно греть стопу.. Потестим на даче. Вопрос to Stalkin : какая то разница есть у красной и черной стороны стельки? Красная греет более, чем черная? Сечение жил кабеля USB допускает величину тока 0.9А? Какое максимальное напряжение можно подать на нагревательный элемент? Все это должно быть в инструкции. На крайнем фото виден выход кабеля из стельки,зафиксирован термоусадкой. Досадно будет, если быстро нарушится контакт в этой точке(обрыв провода). Поживем,увидим.


183975
183976
183977
 

Stalkin

Активный рыбак
Регистрация
30.06.2023
Сообщения
93
Приветствую, спасибо за отзыв!
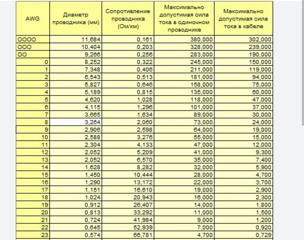
Использован провод 22 AWG, пересмотрел все таблицы, максимальный допустимый ток 7 А.
Красная или чёрная сторона, не имеет значения, это сделано только для эстетики (красивых фото)
Не советую подключать к источнику питания более 5 В,
Провод закреплён на всю ширину стельки, на счёт термоусадки, я подумал так будет надежнее, она не позволяет проводу переломиться в этом месте, т.к. она создаёт небольшой радиус, да и ногой она не чувствуется.
На счёт инструкции согласен, нужно будет посидеть подумать
 

Вложения

  • Screenshot_20230725_083808.jpg
    Screenshot_20230725_083808.jpg
    415.6 КБ · Просмотры: 175

Pilot6

Активный рыбак
Регистрация
11.04.2011
Сообщения
50
Местоположение
Томск
Спасибо за ответы! Удачи!
 

Stalkin

Активный рыбак
Регистрация
30.06.2023
Сообщения
93
До конца октября, действует скидка 10 %, на заказ в теме, от 2-х пар
 

Stalkin

Активный рыбак
Регистрация
30.06.2023
Сообщения
93
Сделаю ещё 15 пар до холодов и в "отпуск" до весны(
 

Stalkin

Активный рыбак
Регистрация
30.06.2023
Сообщения
93
Готова крайняя партия в этом сезоне. 18 комплектов.
 

Вложения

  • 20231021_093005.jpg
    20231021_093005.jpg
    231.1 КБ · Просмотры: 163

Pilot6

Активный рыбак
Регистрация
11.04.2011
Сообщения
50
Местоположение
Томск
1. В бродни в один сапог на войлочную стельку уложил стельку с подогревом. Носки и байковая портянка. В другом стельки с подогревом не было.
Нога в сапоге с подогревом - комфортное состояние. Другая под замерзла.
2. В сапоги поставил вкладыши-чулки. Стельку с подогревом поставил в чулок. На ногах теплый носок .Тепло и комфортно ступне. Стелька не жжет. Включал минут на 25-30. за день три раза. Рыбачил с лодки. Как в заброд будет не проверял. Был ветер.
Я доволен. Рекомендую.
 

Stalkin

Активный рыбак
Регистрация
30.06.2023
Сообщения
93
Спасибо за отзыв!
Так же начал получать положительные отзывы, на других площадках
Желаю Вам комфортной рыбалки и хорошего улова! 👍
 

Stalkin

Активный рыбак
Регистрация
30.06.2023
Сообщения
93
Друзья!
Прошу вас заказывать стельки в теме, этим вы поможете мне, а так же сомнивающимся в покупке камрадам. Так же приветствуются отзывы об эксплуатации, и конструктивная критика (по возможности приму во внимание). Продано порядка 25-ти пар, через Л.С( в том числе и на других форумах
 

Stalkin

Активный рыбак
Регистрация
30.06.2023
Сообщения
93
Выложу ещё один отзыв с соседнего форума:
профайл UMKA_SP пожаловаться модератору Редактировать сообщение Цитировать https://forum.guns.ru/forummessage/275/2874200-m67158961.html
'; return false;" src="https://forum.guns.ru/forums/link_23x11.gif" border="0">
Здравствуйте, Николай! Посылку Вашу получил, все пришло вовремя в целости и сохранности, спасибо! Вчера вечером подключил обе стельки к повербанку на 10 000 мА/ч, они хорошо грели примерно 4,5 часа, далее высаживать АКБ в "0" не стал, остаток был 14%, думаю на 5 часов АКБ хватит. По сравнению с китайскими, это день и ночь! Нагревательный элемент расположен змейкой от пальцев, который начинают мерзнуть в первую очередь, до середины стельки, а не как у китайцев петлей под пяткой и серединой ступни, где он ваАще не нужен. Порадовало, что провода нормального сечения, а не китайские волосинки на которых потери 25%, ну и конечно, качество изготовления вызывает восхищение! По ощущению стельки нагрелись где то в районе 45-50гр., что для нынешней Питерской погоды с +3,+7 гр. многовато, но ни кто не мешает их периодически отключать. Будет время/настроение вставлю на доп. комплект проводов (Спасибо за присланные доп. разъемы!) кнопку регулятор ссылку на которую я Вам присылал.
Используемый повербанк, купил два таких, заявленную емкость отдают
 

Stalkin

Активный рыбак
Регистрация
30.06.2023
Сообщения
93
Осталось 4 пары. Принял решение, на зимний период орендовать тёплое помещение. Следующая партия будет готова ближе к Новому году
 

Stalkin

Активный рыбак
Регистрация
30.06.2023
Сообщения
93
  1. Отпишусь отзывом:
  2. Краткий отчет:
    В галерее был чуть более полутора часов, специально обувал не зимние ботинки и не с толстым полушерстяным носком, температура от - 5 до -6 гр. Первоначально стельки не включал, ждал когда начнут подмерзать ноги. Легкий дискомфорт почувствовал через пол часа, включил стельки, 2-3 минуты и дискомфорт ушел. Ощущался только холодок сверху стопы, тк ботинки были не зимние, с низу было теплехонько.
    На стенде был два часа в зимних сапогах , температура от -6 до-7 градусов, носок х/б. Потребности включать стельки не было, но я их включил для эксперимента в самом конце. Ногам стало избыточно тепло.
    Мои выводы: стельки работают, запас есть.
    Для мороза в районе -10 гр. можно смело давать гарантию.
    Меня интересует работа стелек при температуре ниже 15-20 градусах и нахождении в этот момент в засидке или на вышке с малой подвижностью.
    На данный момент я доволен работой Николая.
    В воскресение мне предстоит посидеть на вышке, температуру по прогнозу обещают минус 12-15 гр.
    По результатам отпишусь.
 

Stalkin

Активный рыбак
Регистрация
30.06.2023
Сообщения
93
Закончились. К середине декабря думаю сделаю следующую партию. 36-40, 40-45 и 47го размера
 

Stalkin

Активный рыбак
Регистрация
30.06.2023
Сообщения
93
Прислали ещё один отзыв

Сегодня на охоте стоял на номере, температура -10с ,обувь обычные ЭВА сапоги ,с этими стельками ногам очень тепло,можно сказать что почти горячо.В общем я доволен.
 

Stalkin

Активный рыбак
Регистрация
30.06.2023
Сообщения
93
Готова очередная партия, 36-40, 40-45, и 47-го размера. Приоритет на покупку предоставляется тем, кто оставлял заявки ранее
 

Вложения

  • 20231207_120708.jpg
    20231207_120708.jpg
    430 КБ · Просмотры: 158
  • 20231207_120838.jpg
    20231207_120838.jpg
    417.4 КБ · Просмотры: 161

Stalkin

Активный рыбак
Регистрация
30.06.2023
Сообщения
93
Ещё добавлю отзыв
 

Вложения

  • Screenshot_20231209-145210_Chrome.jpg
    Screenshot_20231209-145210_Chrome.jpg
    64.2 КБ · Просмотры: 119

Russo

Бывалый рыбак
Регистрация
05.04.2017
Сообщения
42
Местоположение
Бердск
Здравствуйте, скажите, какая длина провода от входа в стельку до разъема? Есть аналогичные китайские - но там шнурок короткий: на месте, когда понадобились, не подключишь без разувания, ну и греют только по центру - без пальцев.