Описторхоз

vsemintheworld

Старожил
Регистрация
09.07.2024
Сообщения
548
@Panadol777, Да нет, не бурчало- просто противно было, чуть подташнивало в стоячем положении- приходилось прилечь - ведь всё это было натощак и ДО употребления всяческой пищи требовалось подождать 2 часа. Плюс ещё соды 1\5 чайной ложки, как написано в инструкции, слопал...

В общем и целом - хорошо почистил кишечник, ибо ДО употребления никло сходил в туалет по-большому пару раз(оформленным калом) как проснулся(как обычно ежедневно), а потом, на фоне употребления таблеток ещё раза 3-4 сходил уже в жидком состоянии.
 

zdark

Старожил
Регистрация
05.01.2026
Сообщения
1 388
Думаю если он онкологией занимается, то смертность имеет место быть у каждого онколога
Я не нашла сертификатов и дипломов о том, что данный человек имеет право лечить людей. Только клиника у него своя. Но для этого врачом не надо быть.
 

zdark

Старожил
Регистрация
05.01.2026
Сообщения
1 388

Вложения

  • sxema fenasala.png
    sxema fenasala.png
    36.8 КБ · Просмотры: 79

vsemintheworld

Старожил
Регистрация
09.07.2024
Сообщения
548
"Фенасал не опасен"- а чего же тогда о его токсичности постоянно пишут в статьях? И почему в РФ он не сертифицирован при том, что именно им успешно лечат животных уже много лет?
 

zdark

Старожил
Регистрация
05.01.2026
Сообщения
1 388
"Фенасал не опасен"
Да, умники схемы составляли, без специального образования - это видно. Средневековье рулит нынче. Так называемая интегративная медицина, под которую все заделались нутрициолагами и "паразитологами", когда ни черта в паразитах не шарят.
Но то что пишут, без капельниц трудно будет пройти курс - это факт. Если карлик в большой инвазии и будет дохнуть от химии, то интокс будет лютый. Я это ощутила на себе. Капельницами спасалась.
 

zdark

Старожил
Регистрация
05.01.2026
Сообщения
1 388
Большая ошибка пить Альб вместе с расторопшей (Карсил). Как писала ранее, если хотим устранить тканевых паразитов Альбом, то он индуцирует цитохром Р450, а расторопша ингибирует этот цитохром. То есть, определенными гепатопротекторами мы будем понижать действие Альбендазола, когда нужен противоположный эффект.
 

Вложения

  • 4.1 завтрак.png
    4.1 завтрак.png
    208.7 КБ · Просмотры: 59

zdark

Старожил
Регистрация
05.01.2026
Сообщения
1 388
Предлагает 5 грамм Фенасала разово, а через час уже закинуться кашей с бананом. Ну такое себе лечение то, получится по факту... Касторку уже вечером лупануть 30 мл за раз.
 

Вложения

  • 5.1 завтрак и обед.png
    5.1 завтрак и обед.png
    202.4 КБ · Просмотры: 89
  • 5.4 вечер.png
    5.4 вечер.png
    304.9 КБ · Просмотры: 88

zdark

Старожил
Регистрация
05.01.2026
Сообщения
1 388
Зачем 2 грамма Тинидазола разбивать на 20 минут приема, мне вообще не ясен этот ход конем.
 

Вложения

  • 8.3 полдник.png
    8.3 полдник.png
    229.8 КБ · Просмотры: 63

zdark

Старожил
Регистрация
05.01.2026
Сообщения
1 388
В общем, кто хочет поиграться с разными маслами, специями и т.д., то пробуйте. Я не приверженец такой методики, когда основные препараты криво пьются, не учитывая многие моменты: что может понизить Альб, а что может повысить его в крови, разбивка Тини на 4 этапа каждые 20 минут мне вообще непонятна, прием 5 грамм Фенасала и через час закинуться кашей - тоже не ясен подход, Биль в три приема в день -только пощекотать описторхоза и т.д.
 

Вложения

  • 1 Общая схема.png
    1 Общая схема.png
    221.2 КБ · Просмотры: 90
  • Лекарственные прпараты для терапии.png
    Лекарственные прпараты для терапии.png
    163.8 КБ · Просмотры: 101
  • Приготовление противопаразитарного масла.png
    Приготовление противопаразитарного масла.png
    222 КБ · Просмотры: 77
  • Трикату_рецепт.png
    Трикату_рецепт.png
    277.6 КБ · Просмотры: 82
  • 1.1 Антиоксидантное питание.png
    1.1 Антиоксидантное питание.png
    313.6 КБ · Просмотры: 67
  • 1.2 Антиоксидантное питание.png
    1.2 Антиоксидантное питание.png
    158.8 КБ · Просмотры: 92

zdark

Старожил
Регистрация
05.01.2026
Сообщения
1 388
Как писала ранее, если хотим устранить тканевых паразитов Альбом
Кауфман пытался мне втереть, что цистицеркоиды карликового цепня в ворсинках тонкого кишечника не являются тканевыми паразитами) Про то, что карлик может отпочковаться и таким способом размножаться, а его онкосферы могут мигрировать в ткани печени, вообще был удивлен)

Говорит - я паразитолог, чего это Вы мне лекции читаете, когда я их всем читаю)

Я ему - так Вы ветеринар, а не паразитолог) На что он ответил: ну да, я ветеринар и бросил трубку)
 

Вложения

  • 1.PNG
    1.PNG
    99.8 КБ · Просмотры: 39

zdark

Старожил
Регистрация
05.01.2026
Сообщения
1 388
Отечественные противоцестодозные лекарственные средства

Созданием и внедрением отечественного воспроизведенного препарата фенасала (никлозамид, йомезан) была успешно решена проблема терапии кишечных цестодозов. Во-первых, фенасал заменил высокотоксичные препараты первого поколения, назначаемые в высоких дозах.

Фенасал обладает высокой эффективностью при использовании в низких дозах и коротким курсом, к препарату нет привыкания, у взрослых и детей не выявлено побочных эффектов, в силу чего фенасал широко используется в отечественной медицинской практике и может применяться даже для детей младше 2 лет. Во-вторых, препарат экономически выгоден, так как имеет низкую стоимость.

Фенасал является "разобщителем" (нарушает метаболизм) окислительного фосфорилирования у гельминтов, эффективен по отношению к половозрелым гельминтам, что объясняется тем, что кишечная флора нижнего отдела кишечника (где обитают молодые гельминты) метаболизирует препарат, переводя нитрогруппу в аминогруппу, и тем снижает его биологическую активность. Подавление микрофлоры кишечника - один из путей повышения противоцестодозной активности никлозамида и его действия на личиночные стадии паразита. Высокую избирательную токсичность препарата ранее связывали с его низкой всасываемостью, но в настоящее время это объясняют быстрым метаболизмом препарата у млекопитающих. Обнаружен характерный гепатоэнтеральный цикл реасорбции никлозамида.

Для лечения тениаринхоза, тениоза, дифиллобатриоза фенасал назначают в разовой дозе 2 г вечером, через 3-4 ч после легкого ужина. Утром, до еды, дополнительно назначают 1 г препарата.

Для лечения гименолепидоза фенасал рекомендуют использовать двумя 4-дневными курсами с 4-дневным интервалом между ними. Суточную дозу фенасала (3 г для взрослых, 1-1,5 г для детей) делят на 4 приема с 2-часовыми интервалами между ними [10].
 

zdark

Старожил
Регистрация
05.01.2026
Сообщения
1 388
Суточную дозу фенасала (3 г для взрослых, 1-1,5 г для детей) делят на 4 приема с 2-часовыми интервалами между ними
Что-то мне думается, что такой прием химии на карлика более эффективен. Это как я пила 8 доз Биля каждые 3 часа. Пила Биль и по-другому разными дозировками. Но именно сутки, когда пропила Биль, почувствовала себя здоровым человеком. Может и Никло сутки лучше пить, каждые 2-3 часа по 500 грамм. Тут только экспериментировать. Других вариантов нет. Схем море, а какая рабочая, так никто и не знает...

8 доз Йомесана по 500 мг, каждые 3 часа, выйдет 4 грамма в сутки. Можно и так попробовать. Тем более, я почувствую по аллергичному носу сразу, сдохли все половозрелые особи или нет. И таких пульсов несколько делать с разной периодичностью - через 7 дней, потом через 10 дней, потом через 14 дней и законтролиться через 21 день. 5 пульсов выйдет 20 грамм Йомесана на курс. Это один из вариантов распития Никлозамида. Размышление вслух, как говорится)
 

zdark

Старожил
Регистрация
05.01.2026
Сообщения
1 388
А шо так тихо сегодня?)
Так, ребята. Мне явно лучше. Вчера головная боль купировалась после приема Псиллиума и Вобэнзима. Заказала Вобэнзим 200 таб за 4.5К. Будем пить вдвоем с мужем ПОСЛЕ ЕДЫ по 2-3 таб 2-3 раза в день. Правый бок не болит. Стул тонет, переваренный. Энзимы помогают моему пищеварению и иммунитету. Возможно, приду в себя после 2-месячного курса химии раньше и затуплю скоро на Йомесан.
Пришли мои 30 пачек. В каждой по 3 блистера - так удобнее было перевозить. На руки получу на днях и начну ставить эксперименты. Хотелось бы еще в параллель добавить Немозол в жидкой форме. Пока думаю.
 

Вложения

  • photo_5219863348030148711_y.jpg
    photo_5219863348030148711_y.jpg
    58.7 КБ · Просмотры: 62

следопыт24

Писатель-рыбак
Регистрация
13.10.2025
Сообщения
105
Получается что немозол тоже на этого клеща действует. Несколько дней альбена и морда в норме.
Причем здесь демадекоз и к примеру аллергические реакции организма? если у меня перед покраснением ссаднит, чешется ,как с нутри и я понимаю, что завтра снова то лоб, то нос , то за ушами красно, ногти, заусенцы , все сыпется, и это точно, не демадекоз.
 

zdark

Старожил
Регистрация
05.01.2026
Сообщения
1 388
это точно, не демадекоз
У Вас, может быть и не демадекоз. У Панадола может быть демадекоз, потому как была реакция на Ивермектин. Вы же Ивер еще не успели попить от стронгов, как все тут пьют?)
 

zdark

Старожил
Регистрация
05.01.2026
Сообщения
1 388
Это юэнзим 3 месяца пил, гастроэнтеролог назначил, толку 0, только какашки с него черные.
Сын пил это лекарство?

В составе грибковая диастаза - это ферментный компонент, полученный из культуры грибов Aspergillus oryzae. Входит в состав комбинированного препарата «Юниэнзим с МПС» вместе с другими действующими веществами.


Может, поэтому антитела к аспергиллезу повышены?
 

zdark

Старожил
Регистрация
05.01.2026
Сообщения
1 388
Рассмотрим подробнее препарат Юниэнзим с МПС с его уникальным комплексным ферментным составом (табл. 1).

koval03-1.gif
Папаин – протеолитический фермент, присутствующий в латексе дынного дерева (Carica papaya L.), содержащего целый набор цистеиновых протеиназ – собственно папаин, химопапаины А и В и пептидазы А и В. Папаин является наиболее изученным и широко используемым ферментом. Он способен гидролизовать практически любые пептидные связи. Более других расщепляются связи, в образовании которых участвуют глицин, а также гидрофобные (лейцин, изолейцин), ароматические (тирозин, фенилаланин) аминокислоты, аспарагиновая, глутаминовая и цистеиновая кислоты. Энзим способен катализировать гидролиз ряда синтетических эфиров и амидов аминокислот. Таким образом, папаин обладает высокой протеолитической активностью в широком интервале значений рН и более широкой субстратной специфичностью по сравнению с панкреатином.

Грибковая диастаза (основной действующий фермент – a–амилаза), полученная из культуры Aspergillus oryzae, расщепляет полисахариды (крахмал, гликоген) на простые дисахариды (мальтозу и мальтотриозу). В отличие от панкреатической грибковая диастаза также обладает повышенным спектром активности в более широком диапазоне рН. Под действием 1 г грибковой диастазы расщепляется до 800 г сухого крахмала.

Симетикон (активированный метилполисилоксан) – высокомолекулярный полимер на основе кремния. Он обладает свойствами пеногасителя – поверхностно–активного вещества, уменьшающего поверхностное натяжение на границе раздела сред жидкость – газ. Симетикон образует мономолекулярный слой, растекаясь по поверхности пузырьков газа. Коалесценция (разрушение пены) – результат слияния газовых пузырьков. Затем свободный газ эвакуируется с кишечным содержимым или всасывается через слизистую пищеварительного канала. При уменьшении количества пены улучшаются процессы всасывания, транзита по кишечнику. Симетикон не растворяется в воде и не всасывается.

Активированный уголь, входящий в состав препарата, как известно, является эффективным энтеросорбентом, способствует абсорбции газов и токсинов. Имеются данные, что активированный уголь является проводником грибковой диастазы. Также активированный уголь помогает уменьшить диарею, боль в животе, обусловленные нарушением пищеварения, избыточным газообразованием и сопутствующими спастическими явлениями в различных отделах кишечника.

Никотинамид входит в группу витаминов В (витамин В3, или РР). Он является источником ниацина, а также никотинамидадениндинуклеотида (НАД) и никотинамидадениндинуклеотидфосфата (НАДФ), являющихся коферментами для многих энзимов, катализирующих окислительно–восстановительные реакции. Никотинамид участвует в метаболизме углеводов, нормализует перистальтику кишечника, он необходим для жизнедеятельности нормальной кишечной микрофлоры. Никотинамид не вызывает побочных реакций, свойственных никотиновой кислоте: не вызывает покраснения кожи, чувства покалывания или жжения, гипотензии, головокружения, нарушений ритма сердца, диспептических явлений. Не было отмечено связи между применением никотинамида и обострением язвенной болезни желудка и двенадцатиперстной кишки, снижением толерантности к глюкозе.

Комплексное действие препарата Юниэнзим с МПС обусловливает облегчение симптомов, сопутствующих внешнесекреторной недостаточности железы. Юниэнзим с МПС – на данный момент не имеющий аналогов препарат, устраняющий диспепсию различной этиологии. Он является высокоэффективным средством для коррекционной терапии при нарушениях пищеварения, вызванных алиментарными погрешностями, низкой активностью пепсина желудочного сока, функциональными расстройствами (функциональная диспепсия, синдром раздраженной толстой кишки), возрастными изменениями желудочно–кишечного тракта, в том числе связанными с патологией жевательного аппарата, малоподвижным образом жизни или длительном постельном режиме. Препарат применяют для уменьшения и профилактики метеоризма, в том числе в послеоперационном периоде. Отсутствие в препарате желчных кислот делает возможным его применение и при синдроме раздраженного кишечника с явлениями диареи, а также при других видах диарейного синдрома, в том числе при избыточном бактериальном росте в толстой кишке. У больных с энтеритом в просвете кишечника задерживаются продукты гидролитического расщепления питательных веществ, часть из которых осмотически активны. Ввиду сбалансированности компонентов Юниэнзим с МПС хорошо переносится. Препарат рекомендуется принимать по 1 таблетке 1–2 раза в сутки после еды. Юниэнзим с МПС обеспечивает улучшение процессов переваривания и всасывания, нормализацию стула, а также уменьшает проявления метеоризма [9]. Быстро и качественно купируя симптомы диспепсии и метеоризма, он значительно улучшает качество жизни больных с гастроэнтерологическими заболеваниями.
 

zdark

Старожил
Регистрация
05.01.2026
Сообщения
1 388
В статье приводится данные по изучение протеолитической активности микроскопического гриба Aspergillus oryzae-5 на среде с мукой и пшеничными отрубями, с включением минерадьных солей в динамике роста в течение 24-144 часов культивирования. Обнаружено, что гриб в оптимизированных глубинных условиях среды образует протеолитические ферменты, проявляющие активности в различных значениях рН-среды. Выявлено, что образуемый фермент проявляет высокую активность в различных значениях (рН-2,5, рН-5,5, рН-7,2 и рН-9,0). Полученные данные открывают новые возможности использования протеолитических ферментов гриба Aspergillus oryzae-5 в фармацевтической отрасли и промышленности, где требуются протеазы со стабильностью к кислым и щелочным условиям процесса.

Яхяева М.А. Ахмедова З.Р. 25.09.2020


Введение. Известно что, в последнее время широко используются ферменты и ферментные композиции во многих отраслях народного хозяйства, в современных биохимических анализах, клинической диагностике, анализе токсических веществ, иммуноферментных реакциях, и особенно в составе лечебных препаратов различных заболеваний пищеварительного тракта, ожогах, гнойных заболеваниях, посттравматических и пост хирургических осложнениях ит.д. Энзимопрепараты и их композиции успешно применяются при создании различных диетических продуктов питания детского и взрослого назначения [1]

Основные промышленные микроорганизмы для производства ферментных препаратов — это микроскопические грибы родов Aspergillus, Rhizopus, Penicillium и другие, а также бактерии рода Bacillus и актиномицеты, которые являются активными продуцентами амилолитических, протеолитических, пектолитических и других ферментов [2]. Среди микроорганизмов, плесневые грибы имеют особое место, так как они очень широко распространены в природе; основное место их обитания — почва. Несмотря на наличие многих родов и видов плесневых грибов, все они характеризуются нитевидным строением тела и специфическим строением плодоносящих органов, высокой проникающей способностью в нерастворимый субстрат. Гифы распространяются по поверхности питательного субстрата, образуя мицелий и частично врастают в него, деструтирует, образуя соответствующие ферменты [3]

Среди микромицетов, аспергиллы являются типичными аэрофилами, поэтому они могут развиваться только на поверхности твердой или жидкой среды, достаточно аэрируемой среде. Оптимальная температура для, большинства аспергиллов 25-30°С, для некоторых - до 35°С. Большинство грибов при поверхностном культивировании могут переносить кратковременное повышение температуры до 40 и даже 45°С без заметной потери активности ферментов. Оптимальная влажность среды для них около 65% [5,6]

Множества грибы рода Aspergillus образуют гидролитические ферменты, особенно протеолитически активные белки, имеющие очень ценное промышленное значение. Протеазы (КФ.-3.4.1.) относятся к промышленно важным ферментам, которые успешно используются в пищевой, фармацевтической и во многих отраслях производства.В связи с этим, ферментативный гидролиз белоксодержащих субстратов различного происхождения (растений, животных и их белоксодержащих отходов) до составляющих их аминокислот и их смесей все ещё остаётся важнейшим направлением исследований в биотехнологии, где для усовершенствования биотехнологических процессов необходим поиск высокоактивных протеолитических и сопутствующих им ферментов, особенно тогда, когда используются помолы злаковых и зернобобовых культур, содержащих в своём составе помимо белков высокое содержание крахмала, целлюлоза, гемицеллюлоза, пектин и др. [4]. Использования животных белков, гидролизатов, мясных фаршов и их разновидновостей, а также пшеничного, кукурузного помола нашли широкое применение в некоторых областях пищевой промышленности Республики Узбекистан, таких как мясо-молочная, кожевенная, фармацевтическая, спиртовая, крахмало-паточная, пивоваренная, где их можно было с успехом применять и в текстильной и в целлюлозно-бумажной и химической промышленности [9].

Особый интерес к протеазам вызвано тем, что они оказывают существенное влияния на активности сопутствующих им ферментов, в частности а-амилазы при производстве этанола в промышленности. Причиной тому является то, что они могут ингибировать действия амилаз и др.ферментов, приводя к частичному, но и также по высокой своей активностью к полному протеолизу. С другой стороны они гидролизуют белки на аминокислоты, которые в дальнейшем могут быть употреблены дрожжами во время брожения, что приводит к сокращению сроков брожения и концентрацию азотсодержащих реагентов для культур маточных дрожжей. Тогда как некоторая часть этих расшепленных аминокислот могут служить основой биосинтеза сивушных, т.е. высших спиртов, которые оказывают негативное влияние на качества спирта и производительность заводов [9].. Поэтому, изучение протеаз и увеличение их активности в комплексном препарате амилаз для производства и в фармацевтической отрасли по пути создания лекарственных средств против болезней желудочно - кишечного тракта и др. всегда привлекает пристальное внимание ученых и производственников.

При определении цели данной работы нами было обращено внимание на некоторые факторы, диктующиеся от происхождения протеолитических ферментов и их природы. В частности, пищеварительный фермент пепсин является ферментом животного происхождения, отличающиеся целым рядом свойств, но получение которого является зависимым от поставки сычуга животных, относятся к кислым протеазам и получение его является дорогоовизной.

Следовательно, изыскания микробных продуцентов образующиеся протеазы подобно пепсину является очень актуальной и высокоэффективным направлением как в энзимологии, так и в биотехнологии.

Исходя из вышесказанного, целью настоящего исследования явилось изучение компонентного состава протеазы в зависимости от рН –реакционной смеси, образуемой в культуральной жидкости (КЖ) гриба Aspergillus oryzae., а также изучение оптимальных условий ферментообразования и физические свойства образующихся ферментов в динамике роста гриба.

ЭКСПЕРИМЕНТАЛЬНАЯ ЧАСТЬ

Ферментационная питательная среда для скрининга. Культивирование гриба, Aspergillus oryzae-5, выделенный из картофельной мезги проводили в конических колбах емкостью 750 мл одержащей 250 мл жидкой питательной среды (3 % отруби, 2 % мука, макро и микроэлементы в концентрациях 0,05-0,5 %, на качалке при 240 об/мин. при температуре 32°С в течении 24-144 часов.

Определение протеазной активности. Определение протеолитической активности осуществляли по (модифицированному методу Ансона) и ГОСТу – 20264.2-88.[8]

За единицу протеолитической активности приняли способность фермента превращать за 1 мин при температуре 30°С казеинат натрия в неосаждаемое трихлоруксусной кислотой состояние, в количестве, соответствующим 1 мкмоль тирозина.

Определение концентрации белка. Для оценки общей суммы протеолитической активности, концентрацию белка определяли по методу Лоури [7 ]. В качестве стандартного белка использовали бычий сывороточный альбумин.

РЕЗУЛЬТАТЫ И ИХ ОБСУЖДЕНИЕ

Известно, что основным критерием в деле успешного создания новых, отечественных технологий, потребители нуждаются высокоактивным штаммам, ферментов и процессов их получения, и немаловажное свойства –физическим параметром активного действия, к которым относится рН-реакционной смеси, температура метаболиты которые накапливающиеся в КЖ, остаточное концентрация субстрата в среде и др факторы, непосредственно влияющие на образование и активности ферментов.

Для этой цели нами была использована местный, экологически приуроченный штамм микроскопического гриба Aspergillus oryzae.

Известно, что в процессе культивирования повышается биомасса, количество белка и к этим параметрам параллельно повышается активность фермента.

Первоначальный качественный анализ способности гриба Aspergillus oryzae на протеолиз белков проводили с использованием 10-15 % животного белка - желатин и растительного белка - глютена на агаризованных средах на чашках Петри. Зоны гидролиза, степени разжижения субстратов и осветления зоны вокруг колоний гриба в течение48-144 часов. показали гидролизующую способность культуры. .

Исследования физических свойств протеазы, образуемой в КЖ гриба в течение 120 часов показали, что гриб Aspergillus oryzae образует проеолитические ферменты, активности которых зависит от времени культивирования и рН-реакционной смеси.

Полученные результаты показали, что гриб Aspergillus oryzae-5 обладает способностью накапливать в среде культивирования протеолитические ферменты, обладающие широким спектром катализа в различных диапазонах рН реакционной смеси.

Обнаружено, что гриб Aspergillus oryzae-5 образует протеазы, действующие в кислых диапазонах рН в разной степени, что сближает их протезами животного происхождения, в частности пепсин (Рис.1).

Так например, при рН 2,5 кислая протеаза образуются начиная 72 часов роста гриба, достигая максимума к 120 часам роста, позже наблюдали резкий спад в активности данного фермента на 144 часам роста.

Аналогичная картина наблюдался при выявлении протеазной активности при рН 5,5. Из рис. 2 видно, что актвность фермента начинает проявляться с 60 часов, начиная 96 часов наблюдается резкий подъем, достигающая максимума к 120 часам роста (Рис.2). В отличие от кислой протеазы, нейтральная протеаза не теряет активности в дальнейшие сроки роста, т.е. к 144 часам обнаруживали незначительный спад в проявлении активности нейтральной протеазы.

Что касается щелочной протеазы, то активность в данном значении рН-7,2 проявляется довольно высоко к 72 часам, достигая максимума к 96 часам роста, далее наблюдается спад активности почти на 90 % к 120 часм роста, тогда как к 144 часам обнаруживается незначительный подъем в активности фермента (Рис.3).

Весьма интересные данные были получены при исследовании активности фермента сильно щелочной среде рН- 9,0. Оказалось, что данный диапазон не оказывает негативное влияние на активность грибной протеазы, т.е. к 72 и 96 часам роста культура образует достаточное количество щелочной протеазы.

В проведенных выше экспериментах было обнаружено очень интересные данные, т.е. к 120 часам роста, когда остальные протеолитические активности достигает максимума, только у шелочной протеазы наблюдается резкий спад в данной периоде роста, далее активности фермента возобновляется к 144 часам роста продуцента (Рис.4).

Таким образом, изучение роста, развития и образования протеолитических ферментов, проявляющие активности в различных диапазонах рН-среды грибом Aspergillus oryzae-5 показали, что данный гриб обладает уникальным свойствам продуцировать протеазы, проявляющиеся свои активности в сильно кислой (рН- 2,5) и сильно щелочной (рН- 9,0) реакционной среде.

Эти факты имеют очень большое значение не только в понятии механизмов энзиматического катализа, но и на практике. В частности, кислая протеаза может служит истоникам создания лекарственных препаратов, употребляющих при лечении болезней желудочно-кисшечного тракта, панкреатитов, диарейных заболеваниях, язвах, ожогах.

Тогда как, щелочная протеаза можеть быть использован при создании биологических детергентов, моющих стредств и др. целебных мазей, свечи и др. продуктов, связанные с надобностью сильно щелочной среды.

Aspergillus oryzae (syn. Aspergillus flavus var. oryzae) — вид микроскопических плесневых грибов из семейства Aspergillaceae (ранее относился к Trichocomaceae), класса эуроциомицетов. Относится к «благородной плесени», близок к роду Penicillium и к плесени, используемой для производства сыров с голубой плесенью. Легко культивируется на различных природных (морковь, зерновые) или синтетических средах (жидкость Раулина и др.). С глубокой древности его выращивали в Китае[1] вместе с другими микроорганизмами для получения фермента, называемого цюй (麴), который использовался для производства зернового вина (хуанцзю). В средневековый период японцы научились культивировать этот фермент, называемый по-японски кодзи. Достижения в области генной инженерии привели к использованию Aspergillus oryzae в производстве промышленных ферментов с помощью современных биотехнологий.
Название рода Aspergillus происходит от латинского корня aspergillum («кропило») и таксономического суффикса -us.
Под микроскопом аспергилл напоминает кропило, разбрызгивающее святую воду (конидии).
Видовой эпитет oryzae — это латинское склонение слова orȳza (родительный падеж orȳzae), означающего «рис». Латынь заимствовала этот термин из греческого ὄρῡζα (órūza), ὄρῡζον (órūzon).

Применение​

Закваска или «рисовые дрожжи», изготовленные с использованием Aspergillus oryzae, широко используются в пищевой промышленности и биотехнологиях в Азии для осахаривания, производства ферментов и органических кислот.

Пищевая промышленность​

В Японии приготовление закваски, называемой кодзи (яп. 麹), осуществляется путём засевания богатого крахмалом субстрата чистой культурой Aspergillus, в частности Aspergillus oryzae, для:
  • приготовления саке (рисового вина) и сётю (японского зернового дистиллята);
  • переработки соевых бобов для производства мисо, сёю (соевого соуса) или тамари.
Сырьём для саке служит тщательно отшлифованный рис с низким содержанием амилозы, низкой температурой желатинизации и белой сердцевиной. Эти характеристики облегчают набухание, варку и проникновение мицелия A. oryzae. Этот рис, приготовленный на пару, смешивают с кодзи для гидролиза в течение двух-трёх дней.
В Китае традиционные закваски цюй представляют собой сложные культуры плесневых грибов (Aspergillus spp., Rhizopus spp., Mucor и др.), дрожжей (Saccharomyces cerevisiae и др.) и бактерий (Bacillus subtilis и др.). Плесень Aspergillus oryzae присутствует в пшеничной закваске (麦曲, màiqū) или большой закваске (大曲, dàqū), используемых для:
  • запуска ферментации зерна и получения различных зерновых вин (хуанцзю, 黄酒), которые после дистилляции дают водку байцзю;
  • запуска ферментации соевых бобов для приготовления соевого соуса (jiangyou, 酱油), мисо (weiceng, 味噌) и соуса тяньмяньцзян (甜面酱).
Производство знаменитого рисового вина Шаосин сочетает использование двух заквасок (или стартеров): кодзи (17 %), состоящего из пропаренной пшеницы, засеянной чистым A. oryzae, и пшеничной закваски цюй (83 %), полученной путём естественной инокуляции пшеницы[2].

Биотехнология​

Aspergillus oryzae также используется в биотехнологических процессах для производства некоторых коммерческих ферментов[3][4], таких как альфа-амилаза[5], глюкоамилаза[6], протеазы[7], ксиланазы[8], глутаминазы[9], лактаза[10], кутиназа[11], липаза[10][12].
Сообщается об активности типа производства антибиотика против candida albicans[13].
Столкнувшись с проблемой выбросов парниковых газов от использования ископаемого топлива, многие исследовательские центры переориентировались на разработку биотоплива из биомассы с использованием биотехнологических процессов, вдохновлённых промышленным производством саке из рисового крахмала, разработанным Дзёкити Такамине в конце XIX века[14]. Часть биоэтанола первого поколения получают из пшеничного или кукурузного крахмала путём ферментативного гидролиза крахмала с последующей ферментацией. Зерновая мука, смешанная с водой и альфа-амилазой, проходит через варочные аппараты, где крахмал зерна разжижается. Затем добавление глюкоамилазы вызывает превращение разжиженного крахмала в сбраживаемые сахара. Добавления дрожжей достаточно для запуска спиртового брожения, производящего этанол. Производство топливного этанола из крахмалосодержащего сырья требует коммерческих амилаз, которые в настоящее время довольно дороги. Исследования[15] направлены на производство глюкоамилаз Aspergillus oryzae путём твердофазной ферментации на дешёвых сельскохозяйственных отходах, таких как пшеничные отруби, рисовые отруби, жом сахарного тростника и т. д.
В настоящее время несколько исследовательских программ в мире направлены на использование лигноцеллюлозной части биомассы низкой стоимости (отходы сельского и лесного хозяйства), а не дорогостоящих продуктов. В природе биоразложение целлюлозы в основном осуществляется бактериями (Ruminococcus, Clostridium и др.) и грибами (Aspergillus, Schizophyllum, Penicillium, Trichoderma…). Для промышленной реализации ферментативного гидролиза целлюлозы интерес в основном был сосредоточен на Trichoderma reesei, который способен секретировать значительные концентрации целлюлаз (ферментов, расщепляющих целлюлозу). Чтобы устранить некоторые недостатки целлюлаз T. reesei, можно использовать β-глюкозидазы Aspergillus[16]. Другие методы предусматривают клонирование гена глюкоамилазы A. oryzae или A. niger в дрожжи[17].
Aspergillus oryzae также является основным источником нейтральных протеаз (NPI и NPII), которые проявляют высокое сродство к гидрофобным аминокислотам и, следовательно, способны устранять горечь в продуктах питания[18]. Многие отрасли пищевой промышленности используют протеазы, например, молочная промышленность[19] (для созревания сыров) или хлебопекарная для модификации пшеничного глютена путём ограниченного протеолиза. Фармацевтическая промышленность также использует протеазы A. oryzae в качестве средств, способствующих пищеварению.
Аминопептидаза — это фермент, катализирующий отщепление аминокислоты с аминного конца белков[20]. Аминопептидаза A. oryzae привлекла внимание, поскольку ферментативное высвобождение аминокислот и пептидов является способом усиления вкуса ферментированных продуктов. Это также гипотензивное средство.
A. oryzae способен продуцировать глутаминазу — фермент, превращающий глутамин в глутаминовую кислоту (или глутамат), один из основных компонентов вкуса соевого соуса.
Поскольку некоторые люди плохо переносят молочный сахар (или лактозу), были разработаны программы производства молока с низким содержанием лактозы. Фермент, гидролизующий лактозу (или лактаза), может быть получен из A. oryzae, который считается безопасной плесенью.
Первым промышленным производством фермента[11] с помощью A. oryzae стала липаза для стиральных порошков в 1988 году. В сыроделии липаза, гидролизуя жиры, способствует усилению вкуса сливок и сыров.
ФерментыКлассПромышленное применениеПримечание
Некоторые примеры ферментов, продуцируемых A. oryzae путём ферментации
(по данным BRENDA[4], Pariza et al[3], Belmessikh[18])
α-амилазыКарбогидразаХлебопечение, глюкозные сиропы[5]
ГлюкоамилазыКарбогидразаХлебопечение, саке, сёю, биоэтанол[6]
ПротеазыПротеазаСоевый соус, сыроделие, хлебопечение, кожевенное дело
АминопептидазаПротеазаВкусовая добавка[20]
КсиланазыГидролазаБиоотбеливание, хлебопечение[8]
ГлутаминазыСоевый соус, лечение лейкемии[9]
ЛактазыКарбогидразаГидролиз кислой сыворотки[10]
КутиназыГидролазаПереработка биоразлагаемых пластиков
ЛипазыЛипазаСыроделие, стиральные порошки[10]

История​

В конце XIX века немецкий профессор Герман Альбург, приглашённый преподавать в Медицинскую школу Токио, проанализировал закваску кодзи, используемую для производства саке. Он идентифицировал в кодзи плесень, которую назвал Eurotium oryzae Ahlburg (в 1876 году) и которая затем была переименована в 1883 году немецким микробиологом Фердинандом Юлиусом Коном в Aspergillus oryzae (Ahlburg) Cohn. Полное морфологическое описание было дано только в 1895 году Вемером.

Морфология и физиология​

Как и все Aspergillus, A. oryzae образован сетью гиалиновых нитей (мицелием) тонкого и регулярного диаметра, септированных (разделённых перегородками) и разветвлённых[21]. На этих нитях возникают вертикальные нити, которые не имеют перегородок и заканчиваются везикулой, на которой расположены конидиогенные клетки (образующие споры или конидии). Эти споры, образующиеся путём митотического деления, обеспечивают бесполое размножение гриба.
A. oryzae быстро развивается на классических средах (солодовый агар и агар Сабуро) при 22—25 °C. Он образует пушистые или порошкообразные колонии, сначала белого цвета, затем жёлтого и, наконец, желтовато-зелёного.
Секвенирование генома Aspergillus oryzae, некоторое время державшееся в секрете, было окончательно опубликовано в 2005 году группой японских биологов из Цукубы[22]. Он содержит 12 074 гена, что на 7—9 миллионов оснований ДНК больше, чем у A. fumigatus и A. nidulans. Эти дополнительные гены предположительно участвуют в синтезе и транспорте многих вторичных метаболитов, не участвующих напрямую в росте и нормальном размножении[23]. Сравнение нескольких геномов Aspergillus показало, что A. oryzaeA. fumigatus) содержат гены полового типа.

Токсикология​

A. oryzae продуцирует ряд вторичных метаболитов, известных своей токсичностью для человека[24].
Циклопиазоновая кислота может быть выделена из культуры A. oryzae на твёрдой или жидкой среде. Эта кислота нарушает функцию саркоплазматического ретикулума. Допустимая суточная доза для человека составляет 700 мкг/день.
Койевая кислота продуцируется многими штаммами Aspergillus и Penicillium. Она не опасна в дозах, присутствующих в продуктах питания. Аспергилломаразмин был выделен из A. oryzae как фитотоксин. Было показано, что он оказывает ингибирующее действие на ангиотензинпревращающий фермент (АПФ). 3-нитропропионовая кислота, продуцируемая A. oryzae, является нейротоксином, приводящим к дисфункции митохондрий.
Производство афлатоксина грибом A. oryzae было предметом споров. Афлатоксины являются опасными природными канцерогенами, которые могут загрязнять семена арахиса, кукурузы, пшеницы и т. д. В настоящее время установлено, что A. oryzae не продуцирует афлатоксины, а ошибочные идентификации были связаны с неправильным определением A. oryzae и путаницей со штаммами, очень близкими в таксономическом отношении к группе A. flavus.
В то время как A. flavus и A. parasiticus являются основными продуцентами афлатоксинов, A. oryzae, не продуцирующий афлатоксин, считается безопасным или GRAS (Generally recognized as safe) по классификации FDA[11].
МетаболитЛД50 (мг/кг)Путь
Вторичные метаболиты, продуцируемые A. oryzae, и ЛД50
по данным C. Blumenthal[24], 2003; ИП — внутрибрюшинно, ВВ — внутривенно, О — перорально​
Циклопиазоновая кислота2 (крыса)
64 (мышь)
ИП
О
Койевая кислота250 (мышь)ИП
Аспергилломаразмин160 (мышь)ВВ
3-нитропропионовая кислота67 (крыса)ИП
Виолацетин45 (мышь)ИП

Механизм действия​


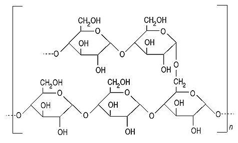
Структура амилопектина со связями α(1→4) в основной цепи, соединённой связями α(1→6) с разветвлениями
  • Осахаривание
Aspergillus инициирует расщепление крахмала, содержащегося в зерне, производя сахара, которые, в свою очередь, обеспечат ферментацию с помощью дрожжей или бактерий. Это осахаривание обусловлено секрецией особой амилазы, α-амилазы или такадиастазы, которая гидролизует крахмал варёного зерна за два-три дня. Затем начинается собственно спиртовое брожение под влиянием дрожжей, попадающих из воздуха.
  • α-амилаза, глюкоамилаза
Крахмал образован остатками глюкозы (D-ангидроглюкопиранозы), соединёнными между собой либо связями α(1→4), либо связями α(1→6), которые являются причиной разветвлений в структуре молекулы. Он состоит из двух полисахаридов: амилозы и амилопектина. Амилоза представляет собой полимер остатков глюкозы, соединённых гликозидными связями α(1→4), тогда как амилопектин — это разветвлённая молекула с длинными ветвями каждые 24—30 единиц глюкозы, связанными посредством связей α(1→6).
Учёные идентифицировали 71 белок, секретируемый штаммом SU16 A. oryzae, используемым для производства вина Шаосин[2]. Многие из них являются ферментами, участвующими в гидролитическом расщеплении крахмала (α-амилазы, глюкоамилазы B и продукты их протеолиза), белков, клеточных стенок и т. д. Среди протеолитических ферментов наиболее распространены оризин, пепсин, нейтральная протеаза II и аланил-дипептидилпептидаза. Профиль секретируемых белков варьируется в зависимости от среды культивирования.
α-амилаза — это гликозидаза, которая расщепляет α-1,4-глюкозидные связи субстрата случайным образом в середине цепей. Этот гидролиз высвобождает в основном мальтозу, изомальтозу, мономеры глюкозы и остаточные декстрины. Декстрины не сбраживаются. Тогда как мальтоза и изомальтоза (состоящие из двух единиц глюкозы) и сама глюкоза являются сбраживаемыми. α-амилаза называется «щелочным протеолитическим» ферментом, так как она действует в щелочной среде как природный фермент, способствуя пищеварению. Существует мнение, что архаичное производство саке зависело от слюны (слюнной амилазы) молодых девственниц, которым поручалось пережёвывать рис, чтобы пропитать его слюной.
Глюкоамилаза (или γ-амилаза) высвобождает единицы глюкозы одну за другой, начиная с невосстанавливающего конца атакуемого полимера. Она полностью гидролизует амилопектин и амилозу до D-глюкозы. Она способна гидролизовать как связи α(1→6), так и связи α(1→4) или α(1→3). Глюкоамилазы продуцируются A. oryzae при ферментации на твёрдом субстрате, таком как поверхность пшеничных отрубей, рисовых отрубей или муки из семян хлопка и т. д. Они в основном используются в промышленном производстве глюкозного сиропа, кукурузного сиропа с высоким содержанием фруктозы и спирта[17].